La Galleria delle Applicazioni raccoglie un'ampia varietà di tutorial e di app dimostrative realizzati con COMSOL Multiphysics in diversi ambiti applicativi, inclusi quelli elettrico, meccanico, fluidico e chimico. E' possibile scaricare i file dei modelli e delle app demo pronti all'uso e le istruzioni step-by-step per costruirli, e utilizzarli come punto di partenza per le proprie simulazioni.
Lo strumento di Ricerca Rapida permette di trovare i modelli che si riferiscono alla propria area di interesse.
Si noti che molti degli esempi qui presentati sono accessibili anche tramite le Librerie delle Applicazioni incorporate nel software COMSOL Multiphysics® e disponibili dal menu File.
This tutorial models the cathodic protection of an oil rig structure during a time period of 15 years. As a result of the consumption of the sacrificial anodes, the protective capabilities system are reduced over time. The anode shape change in the model is defined by using the Level ... Per saperne di più
This example shows the modeling of a resin transfer molding (RTM) process for a wind turbine blade using the Two-Phase Flow, Level Set, Brinkman Equations interface. Resin is injected into a preform consisting of different composites with different anisotropic permeabilities. Per saperne di più
This example simulates an oil droplet rising through a suspension. The suspension is initially stratified, with a dense layer between two clear layers. The droplet is initially located in the bottom clear layer. The particles in the suspension start to sediment toward the bottom of the ... Per saperne di più
This example uses the Shallow Water equations to model the impact of a water wave on a column. A body of water with a height of 0.3 meters is initially contained behind a gate. At the start of the simulation, the gate is suddenly released and the body of water forms a wave moving toward ... Per saperne di più
Acoustic droplet ejection is a non-contact, highly controllable method for liquid handling emerging in applications such as printing, biomedical, semiconductor assembly, and mass spectroscopy. The modeling approach assumes separation of acoustic and flow time scales. First, a focused ... Per saperne di più
The present model example is based on Copper Deposition in a Trench model available in Electrodeposition Application Library. The nonuniform deposition along the trench surface leads to formation of a cavity/void. Since the Deformed Geometry interface cannot handle topological changes, ... Per saperne di più
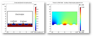
This example models galvanic corrosion between two different phases in a magnesium alloy for a representative cross-sectional microstructure configuration. The Level Set interface is used here to model dissolution of a constituent phase leading to topological changes. The electrode ... Per saperne di più
Galvanic corrosion between two different phases (alpha and beta phases) in a metallic (magnesium) alloy is simulated for a representative cross-sectional microstructure configuration. A key feature in the model formulation is the implementation of both anodic and cathodic regions at ... Per saperne di più
Biodegradable metallic biomaterials such as Magnesium (Mg) are gathering attention for biomedical applications due to their favorable properties. The present model simulates dissolution of a Mg stent in a blood vessel. Due to the circumferential symmetry, only one-twelfth of the actual ... Per saperne di più
This example models galvanic corrosion between two different phases in a magnesium alloy for a representative cross-sectional microstructure configuration. The Phase Field interface is used here to model dissolution of a constituent phase leading to topological changes. The electrode ... Per saperne di più
