La Galleria delle Applicazioni raccoglie un'ampia varietà di tutorial e di app dimostrative realizzati con COMSOL Multiphysics in diversi ambiti applicativi, inclusi quelli elettrico, meccanico, fluidico e chimico. E' possibile scaricare i file dei modelli e delle app demo pronti all'uso e le istruzioni step-by-step per costruirli, e utilizzarli come punto di partenza per le proprie simulazioni.
Lo strumento di Ricerca Rapida permette di trovare i modelli che si riferiscono alla propria area di interesse.
Si noti che molti degli esempi qui presentati sono accessibili anche tramite le Librerie delle Applicazioni incorporate nel software COMSOL Multiphysics® e disponibili dal menu File.
This tutorial drives a capacitively coupled plasma with an L-type matching network at high and low powers. At low power, where the harmonics in the current are low, prefect matching is obtained at the chosen power value. Sweeps over power, frequency, and pressure are performed and their ... Per saperne di più
Streamers are transient filamentary electric discharges that can develop in a nonconducting background in the presence of an intense electric field. These discharges can attain high electron number density and consequently a high concentration of chemical active species that are relevant ... Per saperne di più
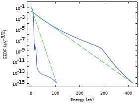
This tutorial model presents a study showing the transient negative mobility and the negative differential conductivity effects in xenon. The stationary and time dependent Boltzmann equation in the two-term approximation is used to compute the electron energy distribution function. ... Per saperne di più
The Boltzmann equation can be solved to validate sets of electron impact collision cross sections. In fact, sets of collision cross sections are traditionally inferred by solving a two-term approximation to the Boltzmann equation and comparing the results to swarm experiments. This model ... Per saperne di più
Electron transport in low-temperature plasmas depends strongly on the electron energy distribution function (EEDF), which is often approximated as Maxwellian but is frequently nonequilibrium in reality. Incorporating nonequilibrium EEDF behavior into spatially dependent models often ... Per saperne di più
This model simulates an electrodeless lamp with argon/mercury chemistry. The low excitation threshold for mercury atoms means that even though the mercury is present in small concentrations, its behavior dominates. There is strong UV emission from the plasma at 185 nm and 253 nm. The UV ... Per saperne di più
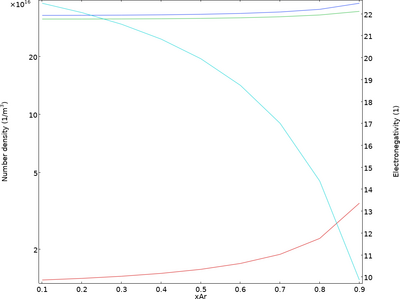
In this example, an SF6/argon plasma reactor at moderate pressure is studied using a global model. The heavy species heat equation is included. Parametric sweeps for input power and argon mole fraction are computed. Per saperne di più
This tutorial studies the deposition of amorphous silicon using an inductively coupled plasma reactor with a silane/argon gas mixture. It examines how the deposition rate varies across the wafer as a function of silane mole fraction and input power. Per saperne di più
This tutorial model explores the behavior of a microwave plasma torch. The plasma is generated within a dielectric tube inserted in a rectangular waveguide. The simulation solves the coupled equations for plasma transport and heating, microwave electromagnetic fields, fluid flow, and ... Per saperne di più
This model analyzes Joule heating and thermal expansion in a bond wire in an LED. Its purpose is to estimate the temperature increase and the resulting mechanical stresses in the bond wire due to thermal expansion. The magnitude of these stresses can be used to assess the risk of fatigue ... Per saperne di più
