In conformità con la nostra Quality Policy, COMSOL ha pubblicato una libreria con centinaia di esempi di modelli documentati che vengono regolarmente testati rispetto all'ultima versione del software COMSOL Multiphysics®, compresi i problemi di benchmark di ASME e NAFEMS, così come TEAM problems.
I nostri test di verifica e validazione (V&V) forniscono soluzioni sempre accurate che vengono confrontate con i risultati analitici e i dati di riferimento stabiliti. I modelli documentati qui sotto fanno parte delle Application Library integrate nel software COMSOL Multiphysics®. Includono inoltre valori di riferimento e fonti per un'ampia gamma di benchmark, così come istruzioni passo-passo per riprodurre i risultati sul proprio computer. Questi modelli possono essere usati non solo per documentare l'impegno nella garanzia di qualità del software (SQA) e nella verifica del codice numerico (NCV), ma anche come parte di un programma di formazione interno.
This tutorial simulates a standard test and benchmark model for perfectly matched layers (PMLs) as absorbing boundary conditions in the time domain. It involves the propagation of a transient Gaussian pulse with no flow. The Pressure Acoustics, Transient interface is used together with ... Per saperne di più
Mass transport limitations within thin crevices can often result in the local electrochemistry to differ significantly between the crevice opening (mouth) and end (tip), and as a result of the differences in local chemistry, corrosion may occur. This example models crevice corrosion of ... Per saperne di più
In this example, a settlement and heave analysis of a shallow foundation resting on an unsaturated soil stratum is conducted with the Modified Cam-Clay and Extended Barcelona Basic soil models. The effect of pore suction due to movements in the phreatic line and the resulting settlement ... Per saperne di più
This benchmark model computes the transient pressure distribution and film height in a squeeze film bearing for lubrication in a nonconformal conjunction of a solid sphere and an elastic wall separated by a lubricant film. This model solves the benchmark case of hydrodynamic interaction ... Per saperne di più
Carbon dioxide in aqueous solution is highly corrosive and can cause significant damage to steel designs. Such conditions arise in pipes used in a variety of applications, especially within the petrochemical industry. In this tutorial example, turbulent flows consisting of carbon ... Per saperne di più
This model shows a setup of two parallel wires with a constant current running through both. Their cross-sections are successively reduced until a set force per unit length is reached. Per saperne di più
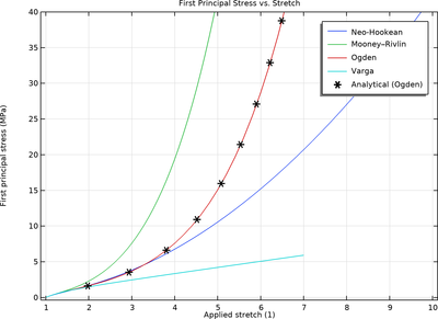
This tutorial model demonstrates how to set up a parameter estimation study for fitting the material parameters of an Ogden hyperelastic model to experimental data. The procedure considers multiple load cases under large deformations, which is often necessary to obtain constitutive ... Per saperne di più
In this example, triaxial and oedometer tests are simulated using the Modified Cam-Clay material model. A nonlinear stress-strain relation is recovered with the constant Poisson's ratio formulation. The hardening and softening behavior is recovered for normally consolidated and highly ... Per saperne di più
In this model the high speed turbulent gas flow in a converging and diverging nozzle is modeled using the High Mach Number Flow interface. The diffuser is transonic in the sense that the flow at the inlet is subsonic, but due to the contraction and the low outlet pressure, the flow ... Per saperne di più
The coaxial cable (coax) is one of the most ubiquitous transmission line structures. It is composed of a central circular conductor, surrounded by an annular dielectric, and shielded by an outer conductor. This model computes the electric and magnetic field distribution inside of the ... Per saperne di più
