La Galleria delle Applicazioni raccoglie un'ampia varietà di tutorial e di app dimostrative realizzati con COMSOL Multiphysics in diversi ambiti applicativi, inclusi quelli elettrico, meccanico, fluidico e chimico. E' possibile scaricare i file dei modelli e delle app demo pronti all'uso e le istruzioni step-by-step per costruirli, e utilizzarli come punto di partenza per le proprie simulazioni.
Lo strumento di Ricerca Rapida permette di trovare i modelli che si riferiscono alla propria area di interesse.
Si noti che molti degli esempi qui presentati sono accessibili anche tramite le Librerie delle Applicazioni incorporate nel software COMSOL Multiphysics® e disponibili dal menu File.
This example investigates the electrical and thermal characteristics of a welding argon arc created in a point-to-plane configuration. The discharge is assumed to be in local thermodynamic equilibrium. The electric arc is considered a conductive fluid medium and is modeled using a ... Per saperne di più
This example model consists of a two-hot-arm thermal actuator made of polysilicon. The actuator is activated through thermal expansion. The temperature increase required to deform the two hot arms, and thus displace the actuator, is obtained through Joule heating (resistive heating). The ... Per saperne di più
This model simulates the propagation of a double-headed streamer in nitrogen at atmospheric pressure. Initially, electron-positive ion clusters were introduced between two parallel electrodes, subjecting the gas to a strong background electric field of 52 kV/cm. Subsequently, both the ... Per saperne di più
This model shows how to simulate the complex discharge physics behind the well-known electrostatic discharge (ESD). The model connects the Electrical Discharge interface with the Circuit interface to simulate how ESD current is generated when a human hand touches metal. Per saperne di più
In a diode or a transistor, when a p-n junction is reverse-biased (the p-side is connected to a lower potential than the n-side), ideally, no current should flow. However, due to minority carriers (electrons in the p-side and holes in the n-side), a small current, known as the reverse ... Per saperne di più
An eigenfrequency study is used to find the resonance frequency and threshold gain for an oxide-confined, GaAs-based, vertical-cavity surface-emitting laser (VCSEL). The simulations are performed in two steps. A regular eigenfrequency analysis is first performed, to find good initial ... Per saperne di più
Light rail transit (LRT) systems often utilize DC power for train propulsion. In these systems the potential gradients in the rails may induce stray currents, which corrode adjacent metallic structures. In this example, the Cathodic Protection interface, using Edge Electrode nodes, is ... Per saperne di più
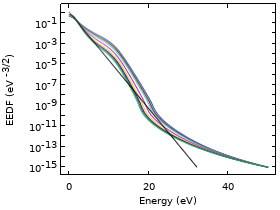
Electron transport in low-temperature plasmas depends strongly on the electron energy distribution function (EEDF), which is often approximated as Maxwellian but is frequently nonequilibrium in reality. Incorporating nonequilibrium EEDF behavior into spatially dependent models often ... Per saperne di più
Planar photonic waveguides in silica (SiO2) have great potential for use in wavelength routing applications. The major problem with this type of waveguide is birefringence. Anisotropic refractive indices result in fundamental mode splitting and pulse broadening. The goal is to minimize ... Per saperne di più
This model demonstrates how to perform simulations of an absorbing bandstop color filter, based on a hexagonal array of holes in a thin aluminum layer. The structure is hexagonally periodic but this example also shows how to set the model up as rectangularly periodic. Per saperne di più
